| 일 | 월 | 화 | 수 | 목 | 금 | 토 |
|---|---|---|---|---|---|---|
| 1 | 2 | 3 | 4 | 5 | 6 | |
| 7 | 8 | 9 | 10 | 11 | 12 | 13 |
| 14 | 15 | 16 | 17 | 18 | 19 | 20 |
| 21 | 22 | 23 | 24 | 25 | 26 | 27 |
| 28 | 29 | 30 | 31 |
Tags
- 자료구조
- DirectX12
- 쓰레드
- 병행성
- OS
- 그리디알고리즘
- 운영체제
- I/O장치
- 스케줄링
- 멀티프로세서
- 타입 객체
- 다이나믹프로그래밍
- codility
- 병행성 관련 오류
- DirectX 12
- 다이나믹 프로그래밍
- 락
- 동적계획법
- directx
- 파일시스템 구현
- 컨디션 변수
- 백준
- 렌더링 파이프라인
- Direct12
- 영속성
- 디자인패턴
- 그리디 알고리즘
- 알고리즘
- 멀티쓰레드
- 프로그래머스
Archives
- Today
- Total
기록공간
타겟넘버 (프로그래머스) 본문
반응형

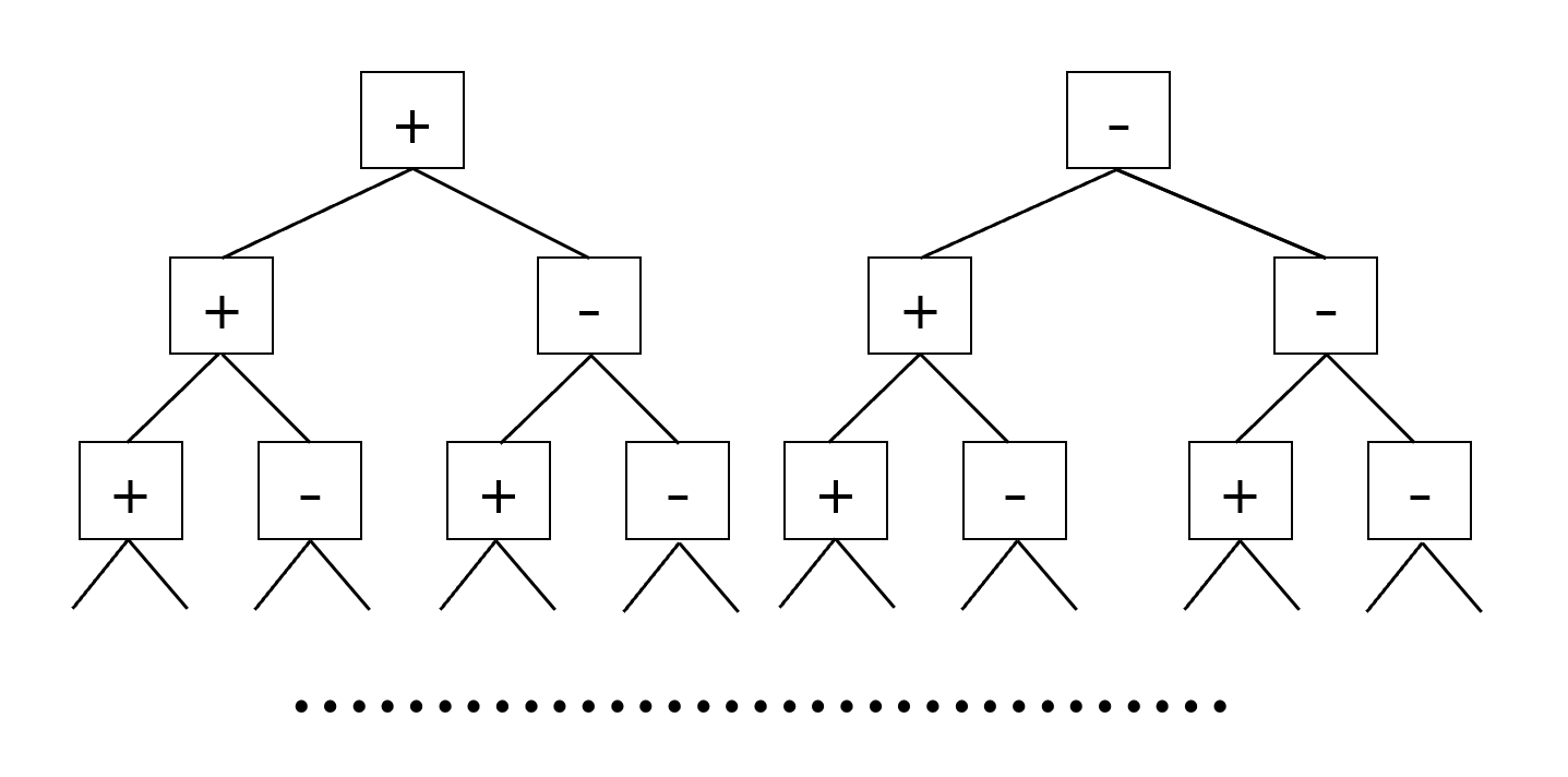
BFS/DFS 문제로 분류되었었는데 처음에는 잘 몰랐다.
이미 입력된 값에 +, -를 하는 문제이다.
처음에 +와 - 두가지 경우가 있다. 그리고 +를 선택하면 두번째에 +와 - 두가지 경우가 올 수 있다. 이것이 마지막 번째까지 반복된다.
즉, 배치 가능한 모든 +, -의 경우의 수를 찾는다. 이런 이유로 BFS/DFS 문제로 분류되었다고 생각한다.
그림으로 표현하면 다음과 같다.

+, -를 해주는 작업은 재귀함수를 사용해주면 된다.
재귀함수로 처음부터 끝까지 +또는 -를 해주는 방향으로 나아가다, 끝까지 도달했을때 target 값과 같은지 확인하고 같다면 answer값을 1 증가시켜주면 된다.
코드는 다음과 같다.
#include <vector>
using namespace std;
void search(const vector<int>& info, int idx, int sum, int target, int& result)
{
// 끝에 도달했을때
if (idx >= info.size())
{
// target과 같다면 정답이므로 1증가
if (target == sum) ++result;
return;
}
// -를 해주는 경우의 루트
search(info, idx + 1, sum - info[idx], target, result);
// +를 해주는 경우의 루트
search(info, idx + 1, sum + info[idx], target, result);
}
int solution(vector<int> numbers, int target) {
int answer = 0;
search(numbers, 0, 0, target, answer);
return answer;
}반응형
'Algorithm > 문제' 카테고리의 다른 글
| 폰켓몬 (프로그래머스) (0) | 2020.07.03 |
|---|---|
| 등굣길 (프로그래머스) (0) | 2020.07.01 |
| 강의실 배정 (백준) (0) | 2020.06.22 |
| 유기농 배추 (백준) (0) | 2020.06.19 |
| 궁금한 민호 (백준) (0) | 2020.06.19 |
Comments